Pengenalan Kepada Minit Mesyuarat
Majlis Perundingan Kampong Mulaut: December 2014
MINIT MESYUARAT UPP BIL 1_ 2019 - Flip eBook Pages 1-4 AnyFlip
PENGURUSAN MESYUARAT: MINIT MESYUARAT
Minit Mesyuarat 1 Ask 2020 PDF
MINIT MESYUARAT AGUNG TAHUNAN (MAT) PIBG KALI KE 58-Flip eBook ![]()
MINIT MESYUARAT AGUNG TAHUNAN (MAT) PIBG KALI KE 58-Flip eBook ![]()
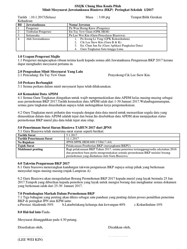
Minit Mesyuarat Contoh JK BKP 2017 PDF
Minit Mesyuarat Agama 2 2015
Minit mesyuarat lembaga koperasi k1 2014
Contoh Surat Mesyuarat Agung Pas
Minit mesyuarat kwamp 1 2014
Tags:
archive