Minit Mesyuarat Agung Pibg Kali Ke 37 Sesi 2014
Minit Mesyuarat Khairat Kematian PDF
Minit Mesyuarat Panitia Pi (Ke-3) Tahun 2014 PDF
MINIT MESYUARAT BIDANG SAINS BIL 1/2021 - Flip eBook Pages 1-6 ![]()
Perkara Berbangkit In English
MINIT MESYUARAT GURU KALI KEDUA 2019 - nurkasih8180 Membalik PDF 
minit mesyuarat
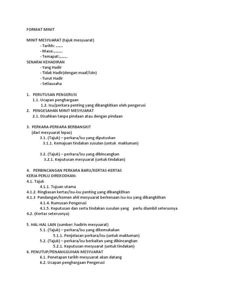
Format Minit Mesy Nota PDF
Contoh Surat Edaran Minit Mesyuarat
Minit Mesyuarat PIBG bil 3 2020 - Flip eBook Pages 1-3 AnyFlip
MINIT MESYUARAT PANITIA PRINSIP PERAKAUNAN BIL 1 - JKS SMKTIZ 
Perkara berbangkit
Tags:
archive